

LoRa是目前很有发展前景的低功耗广域网通信技术,实现了物联网远距离和低功耗二者兼得的要求,使得越来越多的领域应用到LoRa技术。然而,不同的调制方式也给应用企业、个人带来困扰:LoRa调制、FLRC调制、FSK调制和GFSK调制方式各自的特点是什么,应该选择哪一种?LoRa相比FLRC|GFSK调制方式有什么优势特点?
FLRC-快速远程通信(FLRC)调制解调器是在GMSK相干解调的基础上,结合前向纠错和交织技术,提高接收机灵敏度的调制解调器。用户可以访问这些参数,允许高速通信,与相同数据速率下的FSK调制相比,链路预算提高了8到10dB。
FSK-频移键控调制,即用不同的频率来表示不同的符号。如2KHz表示0,3KHz表示1。.FSK是信息传输中使用较早的一种调制方式,它的主要特点是实现起来较容易,抗噪声与抗衰减的性能较好。在中低速数据传输中得到了广泛的应用。最常见的是用两个频率承载二进制1和0的双频FSK系统。
GFSK-高斯频移键控,在调制之前通过一个高斯低通滤波器来限制信号的频谱宽度。
GFSK-高斯频移键控调制是把输入数据经高斯低通滤波器预调制滤波后,再进行FSK调制的数字调制方式。它在保持恒定幅度的同时,能够通过改变高斯低通滤波器的3dB带宽对已调信号的频谱进行控制,具有恒幅包络、功率谱集中、频谱较窄等无线通信系统所希望的特性。因此,GFSK调制解调技术被广泛地应用在移动通信、航空与航海通信等诸多领域中。
LoRa是一种专用于无线电扩频调制解调的技术,LoRa融合了数字扩频、数字信号处理和前向纠错编码技术,拥有前所未有的性能。此前,只有一些军事通讯系统中才会融合这些技术,随着LoRa的引入,嵌入式无线通信领域的局面发生了彻底的改变。
LoRa调制比FSK/GFSK调制方式通信距离远10倍左右;
LoRa芯片兼容FSK、GFSK模式;
低功耗,能够延长电池寿命;
睡眠电流<10uA,低接收电流:13 mA;
LoRa调制提供了超过FSK的同步信道间隔抑制30dB的改进。

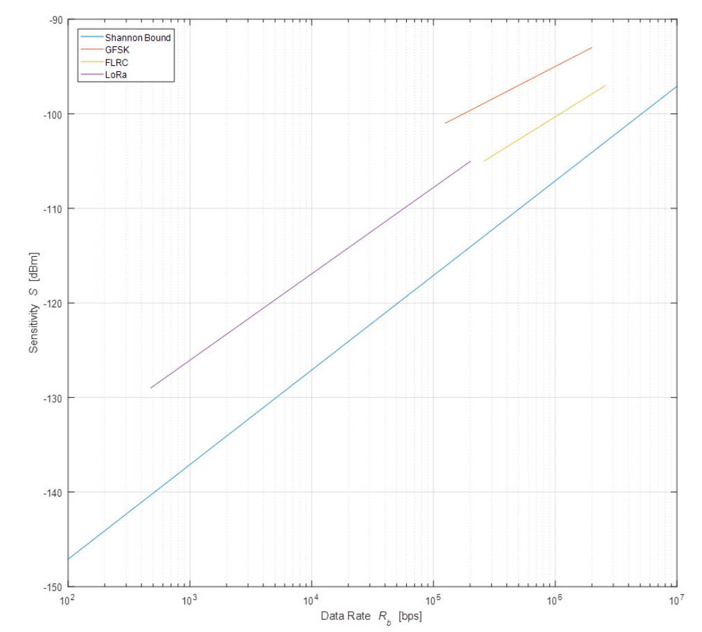
总而言之,LoRa调制方式相比FLRC、FSK、GFSK调制方式具有远距离、低功耗、抗干扰性强的优势,如果应用在距离较远,环境较复杂的方案中,建议选择LoRa模块。
今天的分享就到这里啦,EBYTE人每一天都致力于更好的助力物联化、智能化、自动化的发展,提升资源利用率,更多产品更多资料,感兴趣的小伙伴可以登录我们的亿佰特官网进行了解,还有客服小姐姐在线答疑哦!
7 X 24 销售服务热线
4000-330-990©© 成都亿佰特电子科技有限公司【版权所有】 蜀ICP备13019384号


