

蓝牙模块作为常用的无线传输模块,我们在选型过程中会根据模块的发射功率、传输距离、模块体积、灵敏度、通信接口、天线类型等属性对模块进行筛选,从而选择到满足需求的蓝牙模块,而蓝牙模块的其他硬件接口往往会被大家所忽略,接下来就简单给大家介绍一下蓝牙模块还有哪些方便好用硬件接口。

ADC接口
ADC(Analog-to-Digital Converter)模拟数字转换接口是比较好用的接口,我们常常用来连接传感器,采集传感器的实时数据,可以根据ADC的分辨率来判断其精度如何,常见应用场景:电压检测、温度采集、位移检测、倾角数据采集等等。
E104-BT51、E104-BT51A蓝牙模块为了使电池电压能及时地被获取,且能在手机或者其他设备中直观地显示,本模块增加了电池电压服务,只需要将特定的 ADC 采集引脚连接到对应的电池引脚上,设备会自动定期地采集电池电压数据,根据用户预先设置的电压上下限范围计算出对应的百分比,并实时更新到蓝牙服务,以等待其他主机设备获取数据。
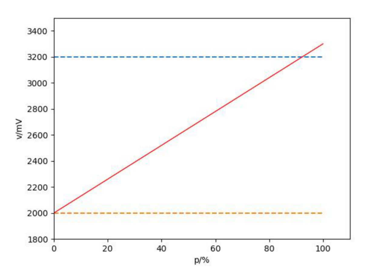
如下图,我们使用 p 代表电池服务的百分比,Btmax 代表设置的电池满电压值,Btmin 代表电池电压最小值,为了使计算更加精确使用 mV 作为单位,即 3.2v 电压值换算为 3200mV 后参与计算。其电压/比值特性曲线如下所示。计算公式:p = (v – Btmin)/( Btmax - Btmin)。根据电池的 p 代入公式即可计算出实际电压值。

GPIO输出接口
GPIO输出接口可用作电平信号控制,我们可以通过蓝牙模块直接控制指示灯,或者通过控制继电器的方式来控制大功率电器和灯光,我们的模块就可以直接作为控制器,无需增加额外的MCU,可直接通过模块控制设备,可以为用户节省更多资源,降低客户的开发、物料成本。
PWM接口
用户在使用此接口时,可以根据需求自行设定PWM的周期、占空比以达到控制目的。PWM常用于呼吸灯、RGB调光调色、电机调速等应用。
下面是蓝牙模块比较常见的物联网应用场景:
蓝牙模块智能锁
在原有门禁系统的基础上,增加低功耗蓝牙透传模块,实现手机蓝牙协议对接。智能手机通过APP调用蓝牙服务,发送指令,智能门禁锁接收蓝牙指令,继而控制智能门禁锁的开关。

今天的分享就到这里啦,亿佰特人每一天都致力于更好的助力物联化、智能化、自动化的发展,提升资源利用率,更多产品更多资料,感兴趣的小伙伴可以登录我们的官网进行了解,还有客服小姐姐在线答疑哦!
7 X 24 销售服务热线
4000-330-990©© 成都亿佰特电子科技有限公司【版权所有】 蜀ICP备13019384号


