

随着科学技术的发展,越来越多的智能可穿戴设备出现在我们的眼前,智能手环,智能眼镜等层出不穷。智能防丢器也是可穿戴设备家族中的一员,其虽然看起来简单,但是对于我们生活有着很大的影响,尤其是对于一些记性不是很好的朋友,防丢器就可以很方便的给出提醒。目前防丢器的种类有蓝牙防丢器,GPS防丢器,RFID防丢器,WIFI防丢器等,本文主要讲解蓝牙防丢器这部分。

图1 蓝牙防丢器与手机连接
什么是智能蓝牙防丢器?
所谓智能蓝牙(SmartBluetooth)防丢器,是采用蓝牙技术专门为智能手机设计的防丢器。其工作原理主要是通过距离变化来判断物品是否还控制在你的安全范围。主要适用于手机、钱包、钥匙、行李等贵重物品的防丢,也可用于防止儿童或宠物的走失。防丢器的原理是在手机和蓝牙之间建立连接,每15秒自动检测一次连接状态,将蓝牙放在小孩、宠物的身上,或贵重物品内,一旦蓝牙离开手机的距离超过一定范围,手机即发出报警声。

目前市面上用的多,而且比较成熟的产品一般都是采用蓝牙4.0的技术,其具有低功耗、双向防丢、自动报警等优点。现市场上的蓝牙防丢器种类繁多,使用的方案各有不同,但大致归类起来,主要有以下部分:蓝牙4.0模块、天线、蜂鸣器、开关、电源等。

图3 蓝牙防丢器的主要构造
要想实现蓝牙防丢器,最核心的器件就是蓝牙模块了,所以我们要选取一款价格低廉,体积小,功耗低,集成度高的蓝牙模块。这里我们选择的是成都亿佰特电子科技有限公司研发的BLE蓝牙模块。模块不仅体积小,支持蓝牙4.0/BLE协议,芯片内部还集成了8051单片机,无需外置单片机即可进行开发,并且引出了天线,通信引脚等。

图4 蓝牙模块
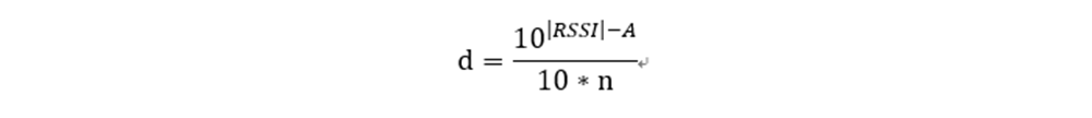
蓝牙防丢器的核心原理是根据接收到的蓝牙设备端的无线信号强度(RSSI)来估算距离。其计算公式是:

d是计算距离,RSSI是信号强度,A为发射端和接收端相隔1米时的信号强度,n是环境衰减因子。对于不同的蓝牙设备该值是不一样的,同样的设备在不同的发射功率的情况下其信号强度也是不一样的,而且对于同是1米的情况下,环境对于信号强度也是有影响的。n是环境衰减因子,自然跟环境有关。所以在确切发射功率的情况下,A和n对于同一款设备来说,也是一个经验值。另外,蓝牙防丢器面向电池应用,所以低功耗必不可少,这时候BLE的优势就有了。

图5 通讯模型
在实际的防丢器产品中,一般有以下功能:
1. 防丢功能:手机端可以检测发射设备端发射的无线信号强度,并根据信号强度大小可估算出一个大致的距离,同时可以主动请求让发射设备报警提示。同时,防丢器也可以让手机报警。
2. 当发射设备端发现和手机端建立的链路断开(意味着距离已经超过连接范围)时,其会自动发出某种形式的警告。
3. 拍照功能:在手机端设置好后,按下防丢器上的按键,即可实现控制手机拍照的目的。
4. 语音播报:APP可以在需要的时候播报当前的防丢器的信息。
5. 剩余电量查询:通过APP 的当前电量按键即可获取当前防丢器的剩余电池电量。如果剩余电量过低,可提醒用户及时更换电池。
6. 休眠模式:在APP上设置休眠模式后,模块便停止向外发送无线信号,进入停止工作的状态,等待用户重新唤醒防丢器工作。
7 X 24 销售服务热线
4000-330-990©© 成都亿佰特电子科技有限公司【版权所有】 蜀ICP备13019384号


