

RC滤波器(LPF)又被称作为RC滤波电路,在信号源作的用下驱动电阻、电容运作的电路,具有选出特定频率功能的器件,对某一频段的频率进行保留,将该频段以外的频率滤除。相比较LC滤波电路,PC用在低频段,体积小。RC滤波器具有抗干扰性能强,电路组成简单,电路中用到的电阻、电容器件容易备货等优点,所以在硬件设计中,应用的较为广泛。
RC滤波器从器件组成上可以分为一阶RC滤波器(图1)、二阶RC滤波器(图2);阶数越高,RC滤波电路对阻带内的信号抑制效果越明显;

图1(一阶RC低通滤波器)

图2(二阶RC低通滤波器)
RC滤波器从电路组成结构上可以分为高通滤波器(图三)和低通滤波器(图三),这两者的差异是电阻和电容的位置。高通滤波器是指的阻断低频段的信号,通过高频段的信号;低通滤波器指的是滤掉高频信号,对低频的信号阻抗小,因此电容的位置是对地,高频信号在电容上阻抗小,高频信号通过电容泄放到地;

图三
高低通滤波器的频率截止公式为F=1/(2PIRC);低通滤波器的幅频特性见图四,高通滤波器的幅频特性见图五,

图四

图五
https://www.elecfans.com/tools/rclvboqijiezhipinlv.html这个小工具可以迅速的帮我们算出RC滤波器的截止频率,例如电阻100欧姆时,电容为1UF,在低通滤波器的电路结构中,1592HZ以上的频率将会被滤除掉。
截止频率的定义:当电压增益下降到0.707时对应的频率被称为截止频率Fc;
传递函数公式如下:

由于该传递函数的分母部分有虚部,算出来该传递函数的模:

当H(jw)为0.707时,WRC=1;FC=1/(2ΠRC)
RC滤波器可以从普通的串联电阻分压推导出来,如图五:

图五
输出电压:
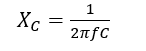
电容的阻抗公式:

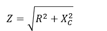
虽然电阻与电容的阻抗单位是欧,但是电容和电阻的电压存在相位差,阻抗不能直接进行加减运算,对于RC电路总的阻抗用Z表示,其阻抗表示为:

参考串联电阻分压公式:

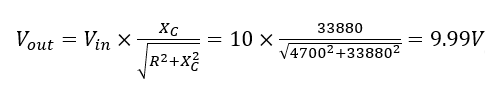
计算图五中的RC滤波电路,在输入信号频率为100HZ和10KHZ时的输出电压。
图六
输入信号的频率是100HZ时:
XC=1/(2ΠFC)=33880Ω;
VOU的电压为:

输入信号的频率是10KHZ时:
XC=1/(2ΠFC)=338.8Ω;
VOU的电压为:

从以上实例可以推出,频率从100HZ变化到10KHZ,电压的输出从9.99V降低到0.7V;
在RC滤波电路中,时间常数为RC,与电路动态响应有关;
今天的分享就到这里啦,EBYTE人每一天都致力于更好的助力物联化、智能化、自动化的发展,提升资源利用率,更多产品更多资料,感兴趣的小伙伴可以登录我们的亿佰特官网进行了解,还有客服小姐姐在线答疑哦!
相关阅读:
7 X 24 销售服务热线
4000-330-990©© 成都亿佰特电子科技有限公司【版权所有】 蜀ICP备13019384号


