

基准电源是一种高精度、高稳定性的电源设备,其主要作用是提供稳态电压或电流输出,并保持输出基准值的稳定性。这种电源设备通常能够实现较高的输出精度和稳定性,以满足各种高精度实验和测试的需求。
基准电源具有多种特性,其中包括高精度、高稳定性、宽范围输出以及可编程控制等。例如,它可以提供高达0.001%的输出精度,确保输出电压或电流的精度和稳定度。同时,基准电源还具有广泛的电压或电流输出范围,能够满足不同设备的工作需求。此外,基准电源通常采用数字化控制,可以通过编程方式精确地控制电压或电流的输出。

图1
并联基准电源,其功能类似于二极管电压调节器,当设备通过最小电流时,设备上的压降保持不变。其使用固定压降来调节负载,并将不需要的电流从负载传输到地面。外部电阻器用于确定总电流电源,其压降为输入电源与基准电压二者的电压差。最大电流负荷决定输入电压和外部电阻大小决定。随着负荷的变化,并联基准将吸收掉多余的电流。

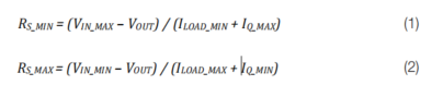
外部电阻最大最小值计算方式如上图1、2
于负基准电压源,连接方式如图2 所示。

图2
串联基准不需要任何外部电阻,器件上会通过负载所需的电流,同时加上一个小的静态电流。然而,正是因为输入电压直接加在器件上,而不是通过串联电阻,所以对于串联基准,有一个参数即最大额定输入电压需要考虑。图3 即为一个典型的串联基准电路。串联基准不需要外部电阻,设备通过负载传导所需的电流和小的静态电流。然而,正是因为输入电压直接施加到器件而不是串联电阻器,所以有一个参数必须被视为参考,即最大额定输入电压。图3显示了一个典型的串联基准电路。

图3
对于串联基准,需要输入电压至少等于输出电压,并增加一定的余量。输入和输出之间的附加电压称为电压差,通常随着负载电流的增加而增加。串联基准可以包括激活功能,该激活功能可以在不需要输出电压时通过外部信号激活或停用设备,从而节省功耗。为电路选择参考电压时,请考虑以下典型应用
宽范围输入电压或存在大的输入电压瞬变。负向或浮地基准电压。
负载电流变化,电源电流和负载电流同时减小。需要对基准源进行休眠或关断的场合。
压差是指在给定负载状态下VIN和VOUT之间的最小电压差。您是否经历过这样的情况:需要一个参考电压,该电压必须能够承受大范围的输入电压,同时保持低电压差分操作?例如,许多具有小电压差的串联参考电压源不能支持超过12V的输入电压。在这一点上,并联参考电源变得非常方便。

图4
在图4所示的电路应用中,LM4040的并联参考电压为4.096V,这是模数转换器(ADC)的常见电压,因为1mV对应于12位ADC的最低有效位(LSB)。
图4:使用一个并联参考来控制一个带有外部参考引脚的ADC。并联参考需要一个外部电阻器来调节电源电流。参考电压的负载电流可以从ADC数据表中确定。在本案例中,我们使用ADS8320。在图4的电路中,ADC数据表中外部参考引脚的最大电流为80μA。如果外部电阻值为576Ω,输入电压范围在4.19V至12.75V之间,则电压参考值仍可保持在其工作范围内。其电压差为94mV,但其整个功率范围的输入电压高于12V。与具有相同参考电压值(4.096V)的串联参考相比,LM5040规格显示的最大电压差为200mV。由于该设备的最大负载电流非常小,仅为80μA。因此,也可以实现极低的电压差。随着负载电流的增加,电阻RS也相应地增加,从而产生更高的最小输入电压VIN。
与并联参考源相比,串联参考源通常具有更好的初始精度和温度漂移。因此,如果您需要精度高于0.1%和/或低于25ppm/°C的温度漂移,您可能需要选择串联参考电压源。然而,并联参考电压源提供了更大的设计灵活性,例如在VIN输入范围内,通过堆叠多个器件可以获得更高的参考电压,并且可以产生负参考电压或浮动参考电压,如图5所示,

图5
可以选择REF5050产品系列来获得具有高精度、稳定性、低噪声和低温漂移特性的精密系列参考源。VIN和VOUT引脚外部连接。通过这种方式,该串联参考电压源基本上被转换为电压调节器二极管,但显著降低了噪声和反向断路电阻的负面影响。
在实际应用中,基准电源被广泛应用于各种需要高精度、高稳定性电源的领域,如电子测量、通信设备、医疗设备、工业自动化等。通过使用基准电源,这些设备可以获得准确、稳定的电源供应,从而提高设备的性能和可靠性。
今天的分享就到这里啦,EBYTE每一天都致力于更好的助力物联化、智能化、自动化的发展,提升资源利用率,更多产品及相关资料,感兴趣的小伙伴可以登录我们的亿佰特官网进行了解,也可以直接拨打400电话咨询技术专员!
7 X 24 销售服务热线
4000-330-990©© 成都亿佰特电子科技有限公司【版权所有】 蜀ICP备13019384号


