

GNSS是所有导航定位卫星的总称,即全球导航卫星系统(Global Navigation Satellite System)凡是可以通过捕获跟踪其卫星信号实现定位的系统,均可纳入GNSS系统的范围,其中包含了美国的GPS、中国的BDS、俄罗斯的GLONASS和欧洲的GALILEO等;我们也可以简单理解为是一种以人造地球卫星为基础的定位系统,GNSS定位技术在全球任何地方和近地空间都能够提供准确的地理位置、速度以及时间信息。

1、GNSS定位原理
GNSS定位原理则是根据无线电波的传播速度是恒定的,传播路径的线性性质,通过测量空间中的电波的传播时间来确定距离差的卫星和用户接收机天线之间的距离差、距离和测量值,再以这些距离差为半径进行三球交汇,根据联立方程求解用户位置;

2、那我们根据联立方程又如何求解用户位置呢?
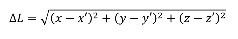
首先,地球表面的任何一个位置,都有它的三维坐标,也就是经度、纬度和高程。它头顶上的GNSS卫星,也有自己的三维坐标,我们可以把整个空间看成一个坐标系,可以画一个立方体,立方体的两个对角,分别是用户和卫星;

其次,我们再根据立体几何的知识可以知道,卫星和用户之间的距离△L(这个距离也被称为“伪距”);其方程式如下:

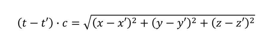
卫星的坐标是(x’,y’,z’),这是已知的,用户的坐标是(x,y,z),这是未知的。与此同时,卫星可以给用户终端发信号,信号的传输速度基本上几乎等同于光速c,而卫星上面有精度极高的原子钟,所以知道自己的时间是t。假设用户终端的时间是t’,那么,卫星和用户之间的距离△L,又可以通过下面这个公式算出:

最后我们再结合以上两个公式,转换为下面这个式子,我们再找3个卫星的坐标值,组成4个四元方程列三个公式,就可以得到用户位置。

根据GNSS定位技术而设计的GNSS定位模块就可以应用在车联网中:例如,车辆定位:对于一些大型车辆、挖掘机、混凝土车辆、物流运输车辆等,如何能够保证在规定时间、地点内作业,是运营公司非常关心的问题。内嵌GNSS定位模块的车载定位导航系统可将这些车辆自动接入到公司的服务平台,从而对其进行有效控制。

在民用领域,目前手机、平板、无人驾驶等涉及导航定位系统的接收机设备基本上都是多系统多频段(多模多频),定位精度可达到亚米级,甚至厘米级、毫米级。
GNSS系统目前已经具备极高的响应速度和定位精度,也有非常可靠的稳定性。行业主流GNSS模组的TTFF速度目前已经提升为秒级,定位精度也从十米级、米级提升为亚米级、分米级甚至厘米级。其应用也从最初军事领域逐步转向民用市场发展,而如今GNSS定位模块的民用市场主要应用于高精度测绘、位置搜索、车载导航、移动目标监控等诸多专业和消费领域。
今天的分享就到这里啦,EBYTE每一天都致力于更好的助力物联化、智能化、自动化的发展,提升资源利用率,更多GNSS定位模组的更多资料信息,感兴趣的小伙伴可以登录我们的亿佰特官网进行了解,也可以直接拨打400电话咨询技术专员!
7 X 24 销售服务热线
4000-330-990©© 成都亿佰特电子科技有限公司【版权所有】 蜀ICP备13019384号


