

通信是人与人之间通过某种媒体进行的信息交流与传递。网络是用物理链路将各个孤立的工作站或主机相连在一起,组成的数据链路。通信网络是指将各个孤立的设备进行物理连接,实现人与人,人与计算机,计算机与计算机之间进行信息交换的链路,从而达到资源共享和通信的目的。网络通讯必须依靠介质来传递数据,将数据调制到模拟信号上,再把此信号通过介质传递到远方。根据介质的不同,分为有线网络和无线网络。为了让世界上各种各样的网络设备生产商生产的设备互联互通, IEEE组织推出了两种协议,一种适用于有线网络的IEEE 802.3标准,另一种是适用于无线网络的IEEE 802.11标准。在底层传输上,有线网和无线网,都属于广播形式的网络,这也就是说,当一个节点发送信息时,网络范围内的所有节点,都能够接收到,如果有多个节点在同时发送数据,这就容易形成数据堵塞和碰撞,导致网络速度变慢。
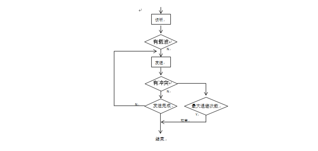
在无线网络通信中,一种被称为CSMA-CA协议解决了上诉数据冲突问题,CSMA(Carrier Sense Multiple Access),中文为冲突避免的载波侦听多路访问,具体工作方式为,发送数据前,先检测到信道状态,等到信道空闲后,再等待一段时间后,再次检测信道是否空闲,如果还是空闲,那么立刻发送数据,否则,随机退避一定时间,等时间到期后,再次发送检测。通过这种方式来确保每个节点发送数据前当前信道处于空闲以保证数据传输的可靠性,其中退避的时间采用高级二进制算法来获取,充分保证退避时间的合理性。工作流程如下所示:

星型组网网络以网络协调器为中心,所有设备只能与网络协调器进行通信,因此在星型网络的形成过程中,第一步就是建立网络协调器。任何一个FFD设备都有成为网络协调器的可能,一个网络如何确定自己的网络协调器由上层协议决定。一种简单的策略是:一个FFD设备在第一次被激活后,首先广播查询网络协调器的请求,如果接收到回应说明网络中已经存在网络协调器,再通过一系列认证过程,设备就成为了这个网络中的普通设备。如果没有收到回应,或者认证过程不成功,这个FFD设备就可以建立自己的网络,并且成为这个网络的网络协调器。当然,这里还存在一些更深入的问题,一个是网络协调器过期问题,如原有的网络协调器损坏或者能量耗尽;另一个是偶然因素造成多个网络协调器竞争问题,如移动物体阻挡导致一个FFD自己建立网络,当移动物体离开的时候,网络中将出现多个协调器。
网络协调器要为网络选择一个惟一的标识符,所有该星型网络中的设备都是用这个标识符来规定自己的属主关系。不同星型网络之间的设备通过设置专门的网关完成相互通信。选择一个标识符后,网络协调器就允许其他设备加入自己的网络,并为这些设备转发数据分组。


E70-433NW30S是成都亿佰特自主研发的星型网络系统,工作在433MHz频段,星型组网模块集协调器、终端为一体,星型组网模块具有长距离、高速率两种传输模式,协调器支持长地址、短地址、广播透3种传输模式,一个协调器支持多达200个节点与其通讯,设备通讯采用CSMA/CA协议,完美解决多设备相互冲突问题,同时节点设备可配置为低功耗类型,无数据收发期间设备自动休眠,极大化减小系统功耗,完美适用于电池设备供电场景。同时,所有操作配置采用行业标准AT指令,极大简化用户操作,适用于多种无线通讯组网场景。
查看技术文章和免费咨询技术问题可以访问我司官网及各官方平台:
微信号:cdebyte
今日头条:亿佰特
新浪微博:成都亿佰特
成都亿佰特--物联网应用专家,随时在身边,时刻准备为您服务!
7 X 24 销售服务热线
4000-330-990©© 成都亿佰特电子科技有限公司【版权所有】 蜀ICP备13019384号


