

晶振,即石英晶体谐振器,在电子电路中扮演着至关重要的角色。为了便于对包含石英晶体的电气网络进行分析,我们可以将其转换为一组RLC等效电路。
石英晶体谐振器的等效电路通常由动态电感L1、动态电容C1、动态电阻R1以及静电容C0组成。其中,动态电感L1反映了振动体的质量特性,它的大小与振动体的质量以及振动模式等因素有关;动态电容C1则体现了振动体的弹性,弹性越强,C1的值也会相应变化;动态电阻R1代表着振动体的损耗情况,损耗越大,R1的阻值就越高;而静电容C0是晶体支架和电极间的静态电容,它是一个相对固定的参数,主要取决于晶体的结构和电极的布局。
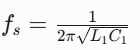
石英晶体谐振器存在两个重要的谐振频率,分别是串联谐振频率Fs和并联谐振频率Fp。


从串联谐振频率Fs到另一个频率Fa的区域被称为“并联谐振区”,在这一区域内,晶振工作在并联谐振状态,这也是晶振的正常工作区域。Fa与Fs之间的差值就是晶振的带宽,带宽的大小会影响晶振的频率稳定性和选择性。
晶体谐振器的电抗特性与其工作频率密切相关。当频率低于串联谐振频率Fs或者高于并联谐振频率Fp时,晶体谐振器呈现出容性,相当于一个电容;而当频率处于Fs和Fp之间时,晶体谐振器则呈现出感性,类似于一个电感。通过对等效电路和电抗特性的分析,我们可以更好地理解和应用石英晶体谐振器,确保电子设备的稳定运行。
今天的分享就到这里啦,EBYTE每一天都致力于更好的助力物联化、智能化、自动化的发展,提升资源利用率,更多串口服务器、数传电台、lora模块等无线数传模块产品和更多电子元器件电路设计资料,感兴趣的小伙伴可以登录我们的亿佰特官网进行了解,也可以直接拨打400电话咨询技术专员!
相关阅读:
7 X 24 销售服务热线
4000-330-990©© 成都亿佰特电子科技有限公司【版权所有】 蜀ICP备13019384号


