

亿佰特新上架的E54系列运动感知与距离探测雷达模块产品支持挂顶和挂壁两种安装方式,推荐的方式为挂顶安装。本文主要以E54-05LD06A系列5.8G频率、C波段技术的雷达模块为例,介绍该运动感知雷达模块安装应用样式及效果、安装注意事项说明等应用指南。
推荐挂顶安装高度为2.7~3.0m。挂顶安装的E54-05LD06系列在默认配置下最大运动感应范围为底部半径为5m。
E54-05LD06系列挂顶安装检测范围示意图
挂顶安装高度为2.7m时本参考方案的运动和微动检测范围示意图如图6-3所示。
E54-05LD06系列挂顶安装感应范围
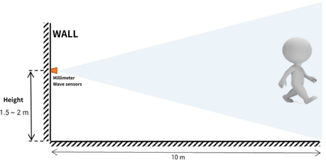
推荐挂壁安装高度为1.5~2m挂壁安装时,毫米波传感器的X轴(参考)指向水平方向,Z轴向上,Y轴指向检测区域。挂壁安装的E54-05LD06系列在默认配置下最大运动感应范围为传感器法向10m、水平和俯仰方向夹角±60°以内的圆锥形空间,如下图所示。
挂壁安装高度为1.5m时本参考方案的探测范围示意图如下图所示。
挂壁安装检测范围示意图
挂壁安装感应范围
务必采用输出电压、电流及纹波系数等都达标的驱动电源,驱动电源不稳定,电磁辐射太强,会造成雷达模组误报,无感知,循环自启等现象;
配套的驱动电源应在2.6~12V,驱动电流峰峰值不低于 5mA,电源纹波幅度需控制在 100mV 以内,工频波动幅度要小;如果功耗允许,建议配置模组为全供电模式,抗干扰更好。
驱动电源和雷达模组装配时,应避免雷达模组底部或天线面,正对驱动电源模块,且应尽量远离驱动电源模块里面的整流桥、开关变压器等工频干扰大的器件,以防干扰微波信号;
在四周有墙壁或障碍物反射微波的情况下,感知距离和感知角度会有增益;在四周较空旷的情况下,感知距离和角度会有衰减;
由于微波天线受到很小变化都可改变探测,所以请保护好天线,表面不要有金属物体(例如焊锡丝)等,避免影响感知距离;
轻拿轻放,避免激烈震动,雷达模组保持平整不变形;光感器件无遮挡和覆盖,特别是雷达模组上的感光元件D1 周围,应避免有不透光的遮挡物;
雷达模组保持独立使用空间,四周空间保持有2mm 以上的自由空间间隔;
通电后大约有3s 初始化噪声分析时间,在此期间属于非正常感知工作;
如果雷达模组的感光器件上面有遮挡(例如外壳等),需要重新测试确定感光门限值;
产线测试和老化作业时,大量的雷达模组上电时若堆叠到一块的话,有可能会出现自激现象,请确保通电的雷达模组之间保持1250px 以上的安全距离。
装配了雷达模组的器件,安装位置应远离通风管道、消防管道、排水管道、机械振动或有大型金属设备等强烈振动物体的地方,因为会影响雷达反射波和探测感知效果;
严禁带电作业,以免动作失误,接错,烧坏电路或触电;
避免安装在日晒雨淋的地方,防止损坏和影响使用寿命;
器件务必安装在远离电磁场的地方,以免电磁干扰产生误动作;也要安装在远离有物体固定转动或者摆动(例如电风扇,摇摆的树叶,风中晾晒衣服等)的地方,以免有误动作产生;
数个内置雷达模组的器件固定安装时,应保证各个器件之间的间距≥0.5m;
雷达微波模块的天线面建议距离产品外壳3~5mm,否则会影响感知距离;

天线面与产品外壳的距离
器件内置雷达模组后,建议水平或垂直放置,在有效的感知范围内,尽量避免面对面安装两个或者更多的内置雷达模组的器件;
避免内置雷达模组的器件(例如灯具)附近,有其他光照物(例如应急灯,导向灯等干扰光源),以免造成器件(灯具)内置感光判断失 效,使得器件(灯具)不能正常工作(常灭,误判为白天);
使用了内置雷达模组的器件(如灯具) 若一直工作(常亮),不能根据动目标探测进行开、关,则可能是雷达模组受到中频干扰,造成模组一直判断为有动目标在感知范围内活动。此时应关断电源,检查电源板的供电状态是否正常以及模组空间距离是否改变;
若以上问题还不能解决,请先断电和观察安装位置周围情况,先排除周围环境干扰因素的影响;重启电源后仍有问题,则考虑更换设备的驱动电源板,或者雷达模组再验证。
电源输入电压范围为2.6~12V,电源纹波在100kHz以内无明显谱峰,本方案为参考设计,使用者需考虑相应的ESD和雷击浪涌等电磁兼容设计。
今天的分享就到这里啦,EBYTE每一天都致力于更好的助力物联化、智能化、自动化的发展,提升资源利用率,更多毫米波雷达模组和无线数传设备应用案例资料信息,感兴趣的小伙伴可以登录我们的亿佰特官网进行了解,也可以直接拨打400电话咨询技术专员!
相关阅读:
7 X 24 销售服务热线
4000-330-990©© 成都亿佰特电子科技有限公司【版权所有】 蜀ICP备13019384号


