

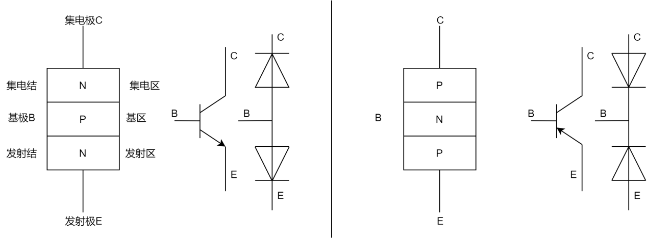
三极管,也就是半导体三极管,是一种控制电流的半导体器件,其作用就是吧微弱信号放大成幅度值较大的电信号,也用作于无触点开关。通常,三极管具有电流放大的作用,它的结构是在一块半导体基片上制作两个相距很近的PN结,两个PN结把整块半导体分成三部分,中间是基区,两测部分是发射区和集电去,通常按照两侧排列方式有PNP和NPN两种。

三极管的两个PN结,类似于两个共阴或共阳的二极管
截止状态:三极管发射结的电压小于PN结的导通电压,基极电流为零,集电极电流和发射极电流都为零,三极管这时失去了电流放大作用,集电极和发射极之间相当于开关的断开状态,我们称三极管处于截止状态。
放大状态:当加在三极管发射结的电压大于PN结的导通电压,三极管的发射结正向偏置,集电结反向偏置,这时基极电流对集电极电流起着控制作用,使三极管具有电流放大作用。
饱和导通状态:当加在三极管发射结的电压大于PN结的导通电压,并当基极电流增大到定程度时,集电极电流不再随着基极电流的增大而增大,而是处于某-定值附近不怎么变化,这时三极管失去电流放大作用,集电极与发射极之间的电压很小,集电极和发射极之间相当于开关的导通状态。三极管的这种状态我们称之为饱和导通状态。
·对微弱的信号进行放大:基极输入一个很小的信号就会引|起集电极很大的电流变化,这是电子电路中一个最重要也是最核心的部分。
·用作无触点开关:利用三极管的截止和导通特性来控制或驱动负载;比如由三极管组成的门电路、开关电源等。
三极管的种类有很多,根据不同类别可以有:
①半导体材料来分:有硅管和锗管;
②按照工作频率来分:有低频管和高频管;
③按照功率来分:有小功率管,中功率管和大功率管;
④按照功能来分:分为开关管,功率管,达林顿管,光敏管等。
我们平时常见的NPN型主E极管有: 8050、 9013、 9014、 9018、 C1815、 D882、TIP41、3DD15、2N3055、2N3773等;
常见的PNP型三极管有: 8550、9012、 9015、 B772、 TIP42、 2N5884等。
其中,像8050、8550、 9013、 9012等这种TO-92封装的E极管属于小功率三=极管:

D882、B772、TIP41、TIP42等属于中功率三极管:

3DD15、2N3055、2N3773、2N5884等这种金封铁帽的三极管属于大功率三极管:

以上都是直插型的三极管,现在常见的还有这种SOT-23封装的贴片三极管:

1、β值:
β值是三极管最重要的参数,因为值描述的是三极管对电流信号放大能力的大小。β值越高,对小信号的放大能力越强,反之亦然;但值不能做得很大,因为太大,三极管的性能不太稳定,通常值应该选择30至80为宜。-般来说,三极管的值不是一个特定的值,它一般伴随着元件的工作状态而小幅度地改变。
2、极间反向电流:
极间反向电流越小,三极管的稳定性越高。
3、三极管反向击穿特性:
三极管是由两个PN结组成的,如果反向电压超过额定数值,就会像二 _极管 那样被击穿,使性能下降或永久损坏。
4、工作频率:
三极管的值只是在一定的工作频率范围内才保持不变,如果超过频率范围,它们就会随着频率的升高而急剧下降。
今天的分享就到这里啦,EBYTE每一天都致力于更好的助力物联化、智能化、自动化的发展,提升资源利用率,更多串口服务器、数传电台、lora模块等无线数传模块产品更多资料,感兴趣的小伙伴可以登录我们的亿佰特官网进行了解,也可以直接拨打400电话咨询技术专员!
相关阅读:
7 X 24 销售服务热线
4000-330-990©© 成都亿佰特电子科技有限公司【版权所有】 蜀ICP备13019384号


